Πειραιάς
34°C

«Σχολή Αριστούχων η ΑΕΝ Οινουσσών»

Δημοσιεύθηκε στις

14/08/2024

από

Ο δήμαρχος των Οινουσσών, κ. Γιώργος Δανιήλ, με ανάρτησή του στα μέσα κοινωνικής δικτύωσης συγχαίρει θερμά και καλωσορίζει τους πρωτοετείς φοιτητές ενώ επιπλέον αναφέρει ότι ΑΕΝ Πλοιάρχων Οινουσσών γι’ άλλη μια χρονιά προτιμήθηκε ως πρώτη επιλογή των αριστούχων για το ακαδημαϊκό έτος 2024-2025.

Συγκεκριμένα αναφέρει:

Με ιδιαίτερη τιμή, υπερηφάνεια και χαρά υποδεχόμαστε τα ανακοινωθέντα αποτελέσματα και τις βαθμολογίες των εισαγομένων σπουδαστών/στριών στις δημόσιες Ακαδημίες Εμπ. Ναυτικού.

Η ΑΕΝ Πλοιάρχων Οινουσσών γι’ άλλη μια χρονιά προτιμήθηκε ως πρώτη επιλογή των αριστούχων για το ακαδ. έτος 2024-2025.

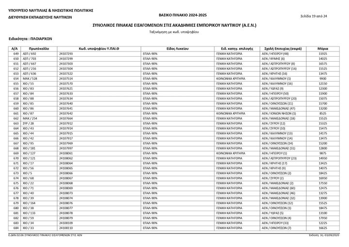
Χαρακτηριστική η σελ. 19 των αποτελεσμάτων:
α/α 681: 18475 μόρια εισαγωγής
α/α 673: 18425 μόρια εισαγωγής
α/α 682: 17950 μόρια εισαγωγής

Συγχαίρουμε θερμά και καλωσορίζουμε τους πρωτοετείς. Η απόφασή τους να προτάξουν στο μηχανογραφικό τους, την ΑΕΝ Οινουσσών, μια από τις πιο περιζήτητες κι αναγνωρισμένες για το επίπεδο σπουδών, το “δυνατό” της πτυχίο, το εκπαιδευτικό προσωπικό και τον εκσυγχρονισμένο εξοπλισμό της Ακαδημία είναι μια πολλά υποσχόμενη επαγγελματική επιλογή μ’ ανοικτούς ορίζοντες και σημαντικές προοπτικές.

Ευχόμαστε σε όλους τους νέους/νεες καπετάνιους καλή επιτυχία στις λαμπρές ναυτικές σπουδές σας και μαζί με τη Διοίκηση και τους εκπαιδευτικούς η Δημοτική Αρχή θα καταβάλει κάθε επιβεβλημένη προσπάθεια για ν’ αναβαθμιστεί η Σχολή και το επίπεδο σπουδών σας επ’ ωφελεία του μέλλοντός σας μέσα στη μεγάλη εθνική μας δύναμη, την ελληνική εμπ. ναυτιλία.

«Σχολή Αριστούχων η ΑΕΝ Οινουσσών»

Το e-nautilia.gr στο Google NEWS

Ακολουθήστε το e-nautilia στα Google News για να είστε πάντα ενημερωμένοι για όλες τις ναυτιλιακές ειδήσεις από την Ελλάδα και όλο τον κόσμο.

Διαβάστε επίσης

Πειραιάς
34°C