Του Μάκη Ματιάτου

Η προπέλα είναι ίσως το πιο μυστήριο εξάρτημα ενός σκάφους και είναι αυτό, που καθορίζει την ταχύτητά του. Είναι σημαντικό να μπορεί να υπολογίσει κανείς τα χαρακτηριστικά της, που θα την κάνουν να εκμεταλλευτεί όσο γίνεται περισσότερο τις δυνατότητες της μηχανής.
Η ιστορία της προπέλας δεν είναι πολύ παλιά. Με την εφαρμογή της μηχανικής κίνησης των σκαφών, οι πρώτοι προωστήρες ήταν οι παραδοσιακοί τροχοί της πρύμης και των πλευρών, που ακόμα και σήμερα συναντάμε σε ρηχά ποτάμια και λίμνες.

Ιστορία της προπέλας
Οι πρώτες προπέλες, που χρησιμοποιήθηκαν ήταν σχεδιασμένες από τον Francis Pettit Smith και τον John Ericsson το 1836. Οι πρώτες προπέλες (σχ.1) θύμιζαν κοχλία με δύο περιελίξεις και στην ουσία ήταν δίπτερες. Η σημερινή μορφή της προπέλας με φτερά έγινε από καθαρή σύμπτωση. 0 περιορισμός της επιφάνειας σε φτερά βρέθηκε από ένα τυχαίο γεγονός, όταν μια προπέλα χτύπησε σε βράχο και αντί να περιοριστεί η ταχύτητα του σκάφους αυξήθηκε. Έκτοτε παρουσιάστηκαν πολλοί παρεμφερείς τύποι ελίκων, για να φτάσουμε στην εποχή μας και στην προπέλα υψηλής τεχνολογίας του σήμερα.

Επιλογή προπέλας επι χάρτου
Πολλοί «ξέρουν» να επιλέξουν τη σωστή προπέλα για το φίλο τους, που έχει σκάφος… Εκτός από την εμπειρική αυτή εκλογή, το σωστό αποτέλεσμα και η καλή απόδοση είναι θέμα ειδικού. Αλήθεια, πόσες φορές έχετε ακούσει την παρακάτω φράση ή κάτι παραπλήσιο. «Βάλε αυτές τις προπέλες και θα δεις. Εγώ τις φόρεσα στο δικό μου σκάφος και πήρα τρία μίλια παραπάνω… » Πέρα από το ό,τι ο «ξερόλας» είναι άσχετος από ορολογία (κόμβοι και όχι μίλια), δεν έχει ιδέα τι θα πει σκάφος. Στην ουσία είναι το ίδιο το σκάφος και η μηχανή του που προσδιορίζουν το μέγεθος της προπέλας. Ακολουθεί η ποιότητα της κατασκευής της και η ζυγοστάθμισή της. Φανταστείτε το πρόβλημα μιας όχι καλά ζυγιασμένης προπέλας, που όσο και μικρή να είναι έχει κάποιο σημαντικό βάρος και στρέφεται με μια ταχύτητα 25 με 30 στροφών το δευτερόλεπτο!!!
Η απλούστερη θεωρία της έλικας είναι η παρομοίωσή της με αυτή του κοινού κοχλία, της βίδας, η οποία βιδώνεται μέσα στο ξύλο (περικόχλιο) και που στην προκειμένη περίπτωση είναι η θάλασσα. Κατά το «βίδωμα» αυτό η προπέλα προχωρεί κατά μήκος με μια δύναμη αντίστοιχη προς την ώση. Στην ουσία η ενέργεια της προπέλας μέσα στο νερό συνίσταται στο ό,τι αυτή«παραλαμβάνει» μια ποσότητα θάλασσας από το πλωριό τμήμα της, την οποία «ρίχνει» πρύμα με μια ταχύτητα μεγαλύτερη από εκείνη της εισροής. Αυτό σημαίνει πως η ταχύτητα του νερού, όταν «μπαίνει» στην προπέλα, είναι μικρότερη από αυτήν με την οποία βγαίνει. Κατά τη διέλευση δηλαδή της μάζας του νερού από τον κύκλο που διαγράφει η έλικα, αυτή επιταχύνεται προς τα πρύμα, καταναλώνοντας την ενέργεια της προπέλας, με αποτέλεσμα τη δημιουργία μιας αντίδρασης. Η αντίδραση αυτή είναι μία δύναμη αντίθετη προς τη διεύθυνση της επιτάχυνσης του νερού και συνιστά την ωστική δύναμη, που εφαρμόζεται στην πρυμιά πλευρά της επιφάνειας των πτερυγίων. Η προπέλα δίνει το καλύτερο δυνατό αποτέλεσμα από κάθε άλλο μέσο πρόωσης, που έχει εφευρεθεί μέχρι σήμερα.
Ο προσδιορισμός των ιδιαιτέρων χαρακτηριστικών της υπαγορεύεται από τον τύπο του σκάφους, την ισχύ της μηχανής και βέβαια από την ταχύτητα του κινητήρα, δηλαδή τις στροφές του ανά λεπτό. Η ταυτότητα κάθε προπέλας πρέπει να αναφέρει πάντα τη διάμετρο (diameter), το βήμα (pitch), τον αριθμό των φτερών (blades), την ανεπτυγμένη επιφάνεια των φτερών (blade surface area), τη φορά της περιστροφής της (rotation) και τη διάμετρο της κωνικής τρύπας στο κέντρο της για την τοποθέτηση του κωνικού του άξονα (shaft hole). Γενικά μπορούμε να πούμε πως υπάρχουν τρεις τύποι σκαφών, τα σκάφη εκτοπίσματος, τα ημιεκτοπίσματος ή ημιπλαναρίσματος και τα ελαφρού εκτοπίσματος ή πλαναρίσματος. Σκάφη εκτοπίσματος είναι αυτά, που ακόμα και αν αναπτύξουν το μέγιστο της ταχύτητάς τους, ακολουθούν πάντα την αρχή του Αρχιμήδη, δηλαδή το βάρος του νερού που εκτοπίζουν είναι ίσο με το ίδιο το βάρος τους. Η ταχύτητά τους δεν ξεπερνά ποτέ τη θεωρητική ταχύτητα της γάστρας τους, που βγαίνει από τον τύπο:
![]()
όπου V = θεωρητική ταχύτητα σε κόμβους, R = σταθερά σχετικής ταχύτητας και LWL = μήκος ισάλου σε μέτρα.

Σκάφη ημιεκτοπίσματος είναι αυτά που διαθέτουν μεσαίο μέγεθος και βάρος, ειδικά σχεδιασμένο κύτος και σχετικά μεγάλες μηχανές. Τα σκάφη ελαφρού εκτοπίσματος διαθέτουν σημαντικά μεγάλη ισχύ μηχανών, είναι ελαφρά και πλανάρουν πολύ εύκολα στο νερό. Ο συντελεστής R φανερώνει και το χαρακτήρα του κάθε σκάφους, σύμφωνα με τον πίνακα 1.

Η διάμετρος
Η διάμετρος της προπέλας (σχ. 4) καθορίζεται από:
α. Την ισχύ της μηχανής σε kW ή hp.
β. Τις στροφές στο στροφαλοφόρο άξονα, δηλαδή τις στροφές της μηχανής διηρημένες δια της σχέσης μετάδοσης του μειωτήρα (ρεβέρσα).
γ. Την ταχύτητα του σκάφους. Είναι το σφάλμα που κάνουν οι περισσότεροι, δηλαδή να πιστεύουν πως η προπέλα καθορίζει την ταχύτητα του σκάφους.
Θα πρέπει να θυμόμαστε πως το σκάφος είναι εκείνο, που προσδιορίζει την ταχύτητα και όχι η μηχανή. Το σκάφος και η μηχανή με τη σειρά τους προσδιορίζουν την προπέλα.
Στο διάγραμμα 1 μπορούμε να προσδιορίσουμε τη διάμετρο της προπέλας, αφού πρώτα έχουμε προσδιορίσει και τη μέγιστη ταχύτητα του σκάφους μας.

Το διάγραμμα 1 αναφέρεται μόνο σε σκάφη εκτοπίσματος, που ταξιδεύουν συμβατικά και δεν πλανάρουν, για τον προσδιορισμό του κλωβού, δηλαδή του ανοίγματος στην πρύμη, όπου κινείται η προπέλα. Η σωστή διάμετρος καθώς και το βήμα θα πρέπει να υπολογίζονται από κάποιον ειδικό. Η διάμετρος, όπως και το βήμα της προπέλας εκφράζονται σχεδόν πάντα σε ίντσες (in) όπου 1 in = 2,54 cm = 25,4 mm. Μία προπέλα με χαρακτηριστικά 18ΆΆ x 15ΆΆ για παράδειγμα σημαίνει πως η διάμετρός της είναι 18 ίντσες και το βήμα της 15 ίντσες.
Το βήμα
Το βήμα (σχ.5) είναι η θεωρητική απόσταση που διανύει το σκάφος με μια ολόκληρη στροφή της προπέλας. Αυτό καθορίζεται 100% από την ταχύτητα του σκάφους. Οποιαδήποτε προπέλα, που στρέφεται μέσα στο νερό παρουσιάζει μια απώλεια στη θεωρητική απόδοσή της που λέγεται ολίσθηση (slip). Στην πραγματικότητα η ταχύτητα του σκάφους είναι μόλις 60% με 75% του βήματος της προπέλας. Η ολίσθηση οφείλεται στο γεγονός ότι η προπέλα δεν «δουλεύει»
μέσα σε κάποιο στερεό σώμα (όπως μια βίδα στο ξύλο), αλλά μέσα σε μια υγρή μάζα, μέσα στην οποία και ολισθαίνει. Έτσι σε κάθε στροφή της προπέλας το σκάφος δεν «προχωρεί» κατά το βήμα της προπέλας αλλά κατά μιαν απόσταση μικρότερη του βήματος, που λέγεται προχώρηση του σκάφους.


Ας κάνουμε όμως ένα παράδειγμα υπολογισμού του βήματος ενός σκάφους, υπολογίζοντας την ταχύτητα σε μέτρα μια και το αποτέλεσμα, δηλαδή το βήμα, θα πρέπει να εκφραστεί σε μέτρα. Έστω ότι το σκάφος μας έχει μέγιστη ταχύτητα 9,7 κόμβους, δηλαδή 9,7 ναυτικά μίλια την ώρα, άρα 18 χιλιόμετρα την ώρα (1 ναυτικό μίλι είναι ίσο με 1.852 μέτρα). Μετατρέπουμε την ταχύτητα των 18 km/h σε μέτρα ανά λεπτό και βρίσκουμε ότι το σκάφος μας έχει ταχύτητα 300 m/min. Το βήμα Η της προπέλας θα είναι 300 (ταχύτητα σε m/min Ι { 1.200 (στροφές της προπέλας) x 0,7 (με 30% ολίσθηση)} = 0,357 m = 35,7 cm.
Προσοχή: οι στροφές της προπέλας είναι οι στροφές της μηχανής διηρημένες δια της σχέσης μετάδοσης. Αν οι στροφές της μηχανής είναι 2.400 και ο μειωτήρας είναι 2:1, τότε οι στροφές της προπέλας είναι 1.200. Μια προπέλα με κάποιο βήμα, που δεν ταιριάζει στην ταχύτητα του σκάφους, θα έχει μειωμένη απόδοση. Όταν χρειάζεται να μειωθεί η διάμετρος για να χωρέσει στον κλωβό (σχ. 6) πολλές φορές αυξάνουμε το βήμα κατά το ίδιο μέγεθος, μειώνοντας έτσι και την απόδοση της προπέλας. Και όπως είδαμε, το βήμα όπως και η διάμετρος της προπέλας, εκφράζονται σχεδόν πάντα σε ίντσες (in) όπου 1 in = 2,54 cm = 25,4 mm.

Έστω ότι έχουμε μια προπέλα και θέλουμε να βρούμε τα στοιχεία της. Η διάμετρος είναι εύκολη στον υπολογισμό της, αλλά το βήμα χρειάζεται κάποια ιδιαίτερη μέτρηση. Για παράδειγμα, θέλουμε να μετρήσουμε το βήμα της προπέλας του σχήματος 7. Αφού την τοποθετήσουμε σε μια επίπεδη επιφάνεια μετράμε τις αποστάσεις χ και ω καθώς και τη γωνία φ μεταξύ δύο σημείων του πτερυγίου, που τέμνονται από μια περιφέρεια με ακτίνα τα 2/3 της ακτίνας της προπέλας, δηλαδή της διαμέτρου διηρημένης δια δύο (R = D/2). Το βήμα μπορούμε να βρούμε στη συνέχεια επιλύοντας τον Τύπο (χ-ψ) x (360/φ). Σημαντική για τη σχεδίαση αλλά και για τη σύγκριση της προπέλας με κάποια άλλη είναι και η γωνία του βήματος. Η γωνία βήματος είναι η εφαπτομένη της γωνίας α του σχήματος 8 και βγαίνει από τη σχέση:

όπου Η είναι το βήμα, D είναι η διάμετρος, R είναι η ακτίνα του κύκλου και π ο γνωστός μας σταθερός αριθμός 3,1416. Η γωνία α δίνει την κλίση της καμπύλης της προπέλας προς το κάθετο επίπεδο του άξονα ή γενικότερα δίνει τη γωνία που σχηματίζει η εφαπτομένη της έλικας σε κάθε σημείο της καμπύλης. Η ολίσθηση είναι η διαφορά της θεωρητικής ταχύτητας του σκάφους Vθ (δρόμος έλικος) από την προχώρηση του σκάφους V (δρόμος του σκάφους). Ο δρόμος της προπέλας υπολογίζεται με τον τύπο:
![]()
Όπου Η = το βήμα της προπέλα και η = ο αριθμός στροφών της προπέλας. Ο δρόμος του σκάφους είναι:
![]()
όπου Π = η απόσταση που προχωρεί το σκάφος σε μια στροφή της προπέλας και η = ο αριθμός των στροφών της προπέλας. Η ολίσθηση είναι:
![]()
Η φορά της προπέλας
Οι προπέλες χαρακτηρίζονται δεξιόστροφες (RH = Right Handed ή Clockwise) όταν στρέφονται κατά τη φορά των δεικτών του ρολογιού και
αντίστοιχα αριστερόστροφες (LH = Left Handed ή Anti-clockwise). Τη φορά τη χαρακτηρίζουμε, παρατηρώντας τους ελικοφόρους άξονες από την πρύμη. Μην ξεγελαστείτε παρατηρώντας πλώρα από τη ρεβέρσα τη φορά της μηχανής, του κόπλερ ή του βολάν (flywheel), γιατί εφόσον υπάρχει ρεβέρσα, η φορά καθορίζεται από αυτήν.
Ο αριθμός των πτερυγίων
Και αυτός καθορίζεται από την ταχύτητα του σκάφους, τις στροφές της προπέλας και τον τύπο του σκάφους (σχ. 9). 0 καθορισμός του αριθμού των φτερών είναι κυρίως θέμα εμπειρίας. Για ένα συνηθισμένο σκάφος μήκους μέχρι 20 μέτρα και στροφές μηχανής περισσότερες από 800, χρησιμοποιούμε κυρίως τρίφτερες προπέλες. Αν επιθυμούμε μεγαλύτερες ταχύτητες με λιγότερες στροφές μηχανής, χρησιμοποιούμε, κυρίως προπέλες με περισσότερα φτερά. Η επιλογή είναι και εδώ δουλειά για τον ειδικό. Για το ίδιο σκάφος μια τετράφτερη προπέλα μπορεί να είναι κατά 10% μικρότερη από μία τρίφτερη. Δίπτερες προπέλες χρησιμοποιούνται κυρίως σε βοηθητικές μηχανές ιστιοφόρων σκαφών για μείωση της τριβής. Μήκος των πτερυγίων λέγεται η απόσταση από τη ρίζα μέχρι την άκρη τους.
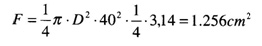
Η ανεπτυγμένη επιφάνεια
Ανεπτυγμένη επιφάνεια των πτερυγίων Fα είναι το σύνολο των πραγματικών επιφανειών ώσης, δηλαδή των πρυμιών ελικοειδών επιφανειών όλων των πτερυγίων. Η επιφάνεια δίσκου F είναι το εμβαδόν του κύκλου, που έχει τη διάμετρο της προπέλας. Για παράδειγμα, το F μιας προπέλας με διάμετρο 40 cm είναι:
![]()
Η επιφάνεια των πτερυγίων κάθε προπέλας δίνεται από το λόγο των δύο παραπάνω, δηλαδή Fα/F (σχ. 9). Επίσης, προβεβλημένη επιφάνεια Fπ λέγεται το σύνολο των επιφανειών των πτερυγίων, όταν αυτά προβληθούν πάνω σε ένα επίπεδο κάθετο στον άξονα της προπέλας. Επειδή η επιφάνεια αυτή προκύπτει από την προβολή κατά τη διεύθυνση της πραγματικής ώσης, πολλές φορές αναφέρεται και σαν «ενεργός επιφάνεια» της προπέλας.

«Σχέση επιφανειών» λέγεται αυτή της ανεπτυγμένης ή της προβεβλημένης επιφάνειας προς την επιφάνεια του δίσκου της έλικας, δηλαδή είναι ο λόγος Fα / F και Fπ / F. Οι δύο αυτές σχέσεις χρησιμοποιούνται για τον υπολογισμό ή τη σύγκριση όμοιων κατασκευών.
Ο αφαλός της προπέλας (πλήμνη)
Για να τοποθετηθεί σωστά η προπέλα και να είναι κεντραρισμένη, πρέπει να διαθέτει ένα κολουροκωνικό άνοιγμα στο κέντρο της, που να δεχτεί το πρυμιό κωνικό τμήμα του άξονα και τη σφήνα της ασφάλειας. Ο αφαλός (σχ. 10) διαμορφώνεται έτσι περισσότερο για λόγους αντοχής, παρά με βάση την απόδοση.

Συνήθως το κωνικό άνοιγμα της προπέλας είναι 1:10, στην Αγγλία και τις ΗΠΑ όμως μπορεί να συναντήσουμε και σχέσεις 1:12 ή 1:16. Η γωνία του κώνου δίδεται από τη διαφορά μεταξύ της μεγαλύτερης με τη μικρότερη διάμετρο, διηρημένη δια του μήκους του αφαλού της προπέλας, δηλαδή:
Aλλα στοιχεία της προπέλας
Εφόσον αναλύουμε τα μυστικά της προπέλας, δεν μπορούμε να παραλείψουμε και τα συμπληρωματικά στοιχεία της, που βέβαια δεν αποτελούν βασικά κριτήριο στην επιλογή της έλικας από εμάς, αλλά για λόγους ορολογίας και γενικών πληροφοριών θα πρέπει να τα γνωρίσουμε. Οι παρακάτω όροι αφορούν καθαρά και μόνο το σχεδιασμό της προπέλας. «Οδηγήτρια» (σχ. 11) λέγεται η καμπύλη της έλικας ή η σπείρα, με την οποία σαν βάση κατασκευάζεται η επιφάνεια της προπέλας. «Ακμή εισόδου» ή «κόψη εισόδου» (σχ. 12) λέγεται εκείνη, με την οποία το φτερό, κατά την περιστροφή του, εισέρχεται στο νερό.

Για μια δεξιόστροφη προπέλα είναι η δεξιά ακμή και αντίστροφα. Επίσης, «ακμή εξόδου» ή «κόψη εξόδου» λέγεται η άλλη όψη του πτερυγίου. «Επιφάνεια ώσης» του φτερού, αλλά και ολόκληρης της προπέλας λέγεται η πρυμιά επιφάνεια των φτερών, δηλαδή αυτή που δίνει την ώθηση στο σκάφος και κατΆ επέκταση την προς τα πρόσω πορεία. Αντίθετα η πλωριά επιφάνεια των φτερών λέγεται «κυρτή επιφάνεια» ή «επιφάνεια ράχης» ή «επιφάνεια ρόφησης» κατά τον αγγλικό όρο drag surface.
Η κατασκευή της προπέλας
Όπως είπαμε παραπάνω, η κατασκευή μιας προπέλας χρειάζεται μεγάλη ακρίβεια. Αν σκεφτούμε ότι μια προπέλα στρέφεται με μια ταχύτητα 1.500 στροφών το λεπτό, σε μερικές δε περιπτώσεις ακόμα πιο γρήγορα, αυτό σημαίνει κάποιες 25 τουλάχιστον στροφές το δευτερόλεπτο. ΓιΆ αυτό οι πιο σημαντικοί παράμετροι της κατασκευής είναι η ισορροπία (ζυγοστάθμιση), το βήμα, η ίση απόσταση των φτερών και το υλικό.
Η ισορροπία της προπέλας ξεκινάει από τη διάνοιξη της τρύπας του άξονα στο κέντρο της. Μια ελάχιστη διαφορά μπορεί να θέσει την προπέλα εκτός ισορροπίας, με αποτέλεσμα μειωμένη απόδοση, κραδασμούς, περισσότερο θόρυβο και επιπλέον φθορά των εδράνων του άξονα (shaft bearings).
Συνήθως οι προπέλες «ζυγίζονται» στατικά (statically balanced), αλλά προπέλες που προορίζονται για μεγάλες ταχύτητες και στροφές
ζυγοσταθμίζονται δυναμικά (dynamically balanced). Το βήμα πρέπει να είναι ακριβώς το ίδιο σε κάθε φτερό για οποιαδήποτε διάμετρο. Διαφορές στο βήμα μεταξύ των φτερών δημιουργούν κραδασμούς και σπηλαίωση της προπέλας. Η απόσταση των φτερών πρέπει να είναι με μεγάλη ακρίβεια ίση για να αποφεύγονται η μειωμένη απόδοση και οι κραδασμοί. Για μια τρίφτερη προπέλα, η απόσταση μεταξύ των φτερών θα πρέπει να είναι ακριβώς 1200, για μια τετράφτερη 900 κ.λπ.
Το θέμα του υλικού είναι πολύ σημαντικό. Για παράδειγμα, υπάρχει διαφορά μεταξύ μπρούτζου και μπρούτζου. Τα κράμα των μετάλλων παίζει ένα σοβαρό ρόλο στην κατασκευή. Σε περίπτωση που χτυπάει η προπέλα, το φτερό θα στραβώσει χωρίς όμως να σπάσει, πράγμα που επιτρέπει την επισκευή της. Οι συνηθισμένες προπέλες αποτελούνται από ένα κράμα μαγγανίου και μπρούτζου, αυτές για μεγαλύτερες επιδόσεις γίνονται από κράμα αλουμινίου και μπρούτζου, άλλες από ανοξείδωτο χάλυβα, αλουμίνιο, ακόμα και από πλαστικό, για εξωλέμβιες.
Η επιλογή της προπέλας
Βέβαια δεν είναι δυνατόν να κάνουμε ακριβώς την επιλογή της κατάλληλης προπέλας χωρίς τη συμβολή ενός ειδικού, αλλά μπορούμε να την
προσδιορίσουμε κατά προσέγγιση. Γενικά για ένα σκάφος εκτοπίσματος, μια τρίφτερη προπέλα με ένα Fα / F περίπου 0,51 είναι αρκετή. Περισσότερα ή μεγαλύτερα πτερύγια δεν προσθέτουν τίποτα παραπάνω στην επίδοση του σκάφους. Σε ένα ιστιοφόρο, μια δίπτερη προπέλα uα ήταν αρκετή για λόγους περιορισμού της αντίστασης, αλλά μια τρίφτερη θα περιόριζε τους κραδασμούς (σχ. 9). Για ένα σκάφος ημιεκτοπίσματος, συνήθως επιλέγουμε τρίφτερες ή τετράφτερες προπέλες με ένα Fα / F περίπου 0,54. Για σκάφη πλαναρίσματος διαλέγουμε οπωσδήποτε τετράφτερες με Fα / F από 0,54 μέχρι 0,74.
Πεντάφτερες προπέλες συναντάμε μόνο σε σκάφη πλαναρίσματος. Ένα σκάφος για να πλανάρει γρήγορα χρειάζεται προπέλες με μεγάλο βήμα. Αυτό όμως θα πρέπει να βρίσκεται μέσα στα επιτρεπτά όρια, γιατί αφού το σκάφος πλανάρει, το μεγάλο βήμα της προπέλας του περιορίζει την απόδοση σε ταχύτητα. Τα σκάφη υψηλών επιδόσεων σε ταχύτητα έχουν προπέλες μικρού βήματος. Αυτός είναι ο λόγος, που οι σύγχρονες προπέλες διαθέτουν χαμηλό βήμα κοντά στον αφαλό, που αυξάνεται προς τις άκρες των πτερυγίων. Ποια όμως είναι τα στοιχεία, που χρειαζόμαστε για να υπολογίσουμε την προπέλα μας;
1. Η ισχύς της μηχανής σε kW ή hp.
2. Οι στροφές της μηχανής RPM.
3. Η σχέση του μειωτήρα (σχέση μετάδοσης της ρεβέρσας).
4. Η μέγιστη ταχύτητα του σκάφους μας. Μερικά καθοριστικά στοιχεία για την καλή απόδοση μιας προπέλας είναι και τα παρακάτω:
α. Για να αποφύγουμε τους κραδασμούς, η απόσταση των πτερυγίων από το πάνω και κάτω τμήμα του κλωβού θα πρέπει να είναι τουλάχιστον 10% της διαμέτρου της προπέλας.
β. Απαραίτητο για την απόδοση της προπέλας είναι να φτάνει σΆ αυτήν αρκετή ποσότητα νερού με καθαρή ροή χωρίς δίνες. Όπως είναι φυσικό,
τοποθετούμε τσίγκους για την προστασία του άξονα και της προπέλας, φροντίζουμε όμως να τους τοποθετούμε σε σημεία που δεν επηρεάζουν την ομαλή ροή του νερού προς την προπέλα. Επίσης δεν θα πρέπει να τοποθετούμε τσίγκους στο πηδάλιο, γιατί επηρεάζουν δραστικά τη ροή του νερού από την προπέλα, δημιουργούν επιπλέον αντίσταση τριβής και μπορεί να προκαλέσουν κραδασμούς.
γ. Υπάρχει η άποψη πως κάποια μεγαλύτερη επιφάνεια πτερυγίων καθώς και περισσότερα φτερά κάνουν την προπέλα πιο αποδοτική, πράγμα όμως που δεν είναι σωστό. Στην πραγματικότητα η προπέλα χάνει πολύ από την επίδοσή της, αφού μια μεγαλύτερη επιφάνεια πτερυγίων προκαλεί μεγαλύτερη αντίσταση.
δ. Οι προπέλες, όπως και τα σκάφη, πρέπει να καθαρίζονται από τη στρειδώνα και τη μαλούπα, που πιάνουν παραμένοντας στο νερό. Όταν οι προπέλες δεν καθαρίζονται συχνά και παραμένουν βρόμικες, χάνουν πολύ από την απόδοσή τους, προβάλλουν μεγαλύτερη αντίσταση τριβής και φυσικά μειώνουν την ταχύτητα του σκάφους.
ε. Χαμηλές στροφές στην προπέλα προσφέρουν καλύτερες επιδόσεις και λιγότερους κραδασμούς. Οι σύγχρονες μηχανές θαλάσσης μπορεί να φτάσουν τις 5.000 στροφές, γιΆ αυτό είναι απαραίτητη η προσθήκη μειωτήρα, που θα περιορίσει τις στροφές της μηχανής σε αποδεκτά επίπεδα για την προπέλα.
στ. Οι προπέλες πρόωσης είναι σχεδιασμένες για να δίνουν πλήρη απόδοση στο πρόσω. Στο ανάποδα η απόδοσή τους φτάνει μόνο το 40% μέχρι 50%, γιΆ αυτό και δεν είναι κατάλληλες για bow thrusters.
ζ. Το πλεονέκτημα των δύο προπελών σε αντίθεση με τη μια είναι ότι κάνουν το σκάφος πιο ασφαλές σε περίπτωση κάποιας μηχανικής βλάβης και βέβαια κάνουν τη μανούβρα πιο εύκολη. Αντίθετα, το μειονέκτημα είναι ότι οι δύο μηχανές σημαίνουν δύο φορές το πρόβλημα της μιας και φυσικά είναι ακριβότερες από μια. ?λλη μια παράμετρος, που θα πρέπει να γνωρίζουμε είναι ότι δύο μηχανές έχουν κατά 10% μέχρι 15% χαμηλότερη απόδοση από μια μηχανή με συνολική ισχύ αυτή και των δύο μηχανών μαζί.
η. Μια κακώς υπολογισμένη προπέλα για παράδειγμα με μεγαλύτερο από το απαιτούμενο βήμα, μπορεί να δημιουργήσει το φαινόμενο της σπηλαίωσης. Η σπηλαίωση παρουσιάζεται όταν η χαμηλή πίεση από την πλωριά πλευρά που γίνεται η αναρρόφηση της ροής δεν είναι αρκετή, προκαλώντας φυσαλίδες αέρα που μπορεί να προξενήσουν ζημιά στην προπέλα.
Σπηλαίωση
Πριν κλείσουμε το θέμα μας για τις προπέλες θα πρέπει να πούμε δύο λόγια και για τη σπηλαίωση, την «αρρώστια» αυτή με το βαρύγδουπο όνομα. Την ακούμε συχνά σαν κάτι προς αποφυγή, αλλά σίγουρα λίγοι γνωρίζουν τι είναι και πως προκαλείται.

Με τον όρο «σπηλαίωση» (cavitation) χαρακτηρίζουμε το φαινόμενο όπου παρατηρείται ο σχηματισμός κενών χώρων κοντά στα φτερά της προπέλας, που διακόπτουν τη συνεχή ροή του νερού προς την έλικα. Με άλλα λόγια, τα φτερά της προπέλας δεν «δουλεύουν» μέσα σε μια συμπαγή μάζα νερού, αλλά μέσα σε ένα μίγμα μάλλον αφρώδες, με μικρότερη πυκνότητα, αυξάνοντας έτσι την ολίσθηση και μειώνοντας την απόδοση της προπέλας (σχ.13). Αποτέλεσμα όμως της κατάστασης αυτής είναι επίσης και η βαθιά τοπική διάβρωση του μετάλλου των πτερυγίων. Ο σχηματισμός των κενών αυτών οφείλεται στο ότι σε ορισμένα σημεία των φτερών και κάτω από ορισμένη ταχύτητα περιστροφής, η αύξηση των μορίων του νερού είναι τόση, ώστε η απόλυτη πίεσή τους, δηλαδή αυτή που περιλαμβάνει πέρα από την ατμοσφαιρική και την υδροστατική πίεση της υπερκείμενης στήλης νερού, να κατέρχεται μέχρι το μηδέν, με άλλα λόγια να αγγίζει το απόλυτο κενό. Σύμφωνα με το θεμελιώδη νόμο του Bernoulli, το άθροισμα της κινητικής και της δυναμικής ενέργειας του ρέοντος ύδατος είναι σταθερό, άρα η αύξηση της ταχύτητας συνεπάγεται ελάττωση της πίεσης και αντιστρόφως.
Με την απόλυτη αυτή πίεση το νερό, όπως είναι ίσως γνωστό εξατμίζεται και δημιουργείται ο κενός χώρος και η διακοπή της συνέχειας της ροής, που βέβαια συνεχίζεται εφόσον εξακολουθούν οι ίδιες συνθήκες ταχύτητας και πίεσης. Με δύο λόγια το νερό παύει να έρχεται σε επαφή με τα πτερύγια, που στρέφονται. Η σπηλαίωση παρουσιάζεται και στην πλωριά και την πρυμιά επιφάνεια των φτερών, ειδικότερα στα άκρα, όπου η ταχύτητα είναι μεγαλύτερη.
Η σπηλαίωση παρουσιάζεται, όταν μικρές προπέλες στρέφονται με μεγαλύτερη από το κανονικό ταχύτητα ή όταν τα φτερά είναι πιο στενά από το απαιτούμενο πλάτος, άρα και με ανεπαρκή επιφάνεια πτερυγίων. Προπέλες κακώς τοποθετημένες, χωρίς ομαλή ροή νερού προς και από τα φτερά τους μπορεί να παρουσιάσουν σπηλαίωση, ακόμα και αν ή επιφάνεια των φτερών είναι στα σωστά όρια. Επίσης, αν η άκρη των πτερυγίων βρίσκεται πολύ κοντά στην επιφάνεια του νερού, μπορεί αυτά να «τραβήξουν» αέρα με αποτέλεσμα, εκτός από την κακή απόδοση να παρουσιαστεί και το φαινόμενο της σπηλαίωσης. Η σπηλαίωση μπορεί να αντιμετωπιστεί μόνο με πολύ προσεκτικό υπολογισμό της έλικας και βέβαια τον περιορισμό των στροφών ανάλογα με τις διαστάσεις και με βάση πάντα στοιχεία από πειραματικές έρευνες.
Η εξέλιξη της προπέλας δεν είναι ραγδαία όπως θα περιμέναμε. Ακόμα και σήμερα, η συμβατική προπέλα έχει υποστεί πολύ λίγες αλλαγές και βελτιώσεις. Η εξέλιξη έγκειται σε διαφοροποιήσεις, όπως αυτές που έχουν οι προπέλες επιφανείας. Αυτό όμως είναι ένα ξεχωριστό θέμα που θα δούμε σύντομα σε κάποιο άλλο θέμα μας, που θα είναι οι εναλλακτικές μορφές πρόωσης.















